
时间:2025-04-23 来源:网络 人气:
你知道吗?在控制系统的世界里,有一种神奇的系统,它就像一个调皮的小精灵,时而安静,时而活泼,这就是我们今天要聊的——二阶系统阶跃响应。想象你给这个小精灵一个突然的跳跃,它会怎么跳呢?是不是好奇极了?那就让我们一起揭开这个神秘的面纱吧!

二阶系统,听起来是不是很高大上?其实,它就在我们身边。比如,一辆汽车在刹车时,刹车系统就是一个典型的二阶系统。它由两个积分环节组成,就像两个小助手,一个负责加速,一个负责减速。
二阶系统的特点就是它的动态响应。当你给它一个阶跃输入(比如突然加速或刹车),它的输出会随着时间变化,这个过程就是阶跃响应。

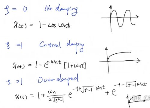
阶跃响应,就像是二阶系统的小精灵在跳舞。它有三种基本形态:欠阻尼、过阻尼和临界阻尼。
欠阻尼:小精灵跳得有点儿过猛,就像一个爱玩儿的孩子,跳得高高的,但很快就停下来,恢复平静。
过阻尼:小精灵跳得有点儿慢,就像一个沉稳的大人,跳得不高,但很快就稳稳地站住了。
临界阻尼:小精灵跳得刚刚好,就像一个优雅的舞者,既不急躁,也不沉闷。

小精灵的舞步,会受到几个因素的影响:
阻尼比:就像小精灵的节奏,决定了它跳得快慢。
自然频率:就像小精灵的身高,决定了它跳得高低。
开环增益:就像小精灵的力量,决定了它跳得远不远。
小精灵的舞姿,可以通过几个动态性能指标来衡量:
超调量:小精灵跳得最高点与理想高度之间的差距。
调节时间:小精灵从跳起来到稳定下来所需的时间。
二阶系统阶跃响应,在现实生活中有着广泛的应用。比如:
汽车刹车系统:通过调整阻尼比和自然频率,可以控制刹车距离和稳定性。
空调系统:通过调整开环增益,可以控制空调的制冷速度和温度。
机器人控制系统:通过调整动态性能指标,可以控制机器人的运动轨迹和稳定性。
二阶系统阶跃响应就像一个调皮的小精灵,它的舞步、舞姿和舞台,都充满了无限的可能。通过了解和掌握它,我们可以更好地控制这个神秘的小精灵,让它为我们的生活带来更多的便利和乐趣。那么,你准备好和这个小精灵一起跳舞了吗?